Productie opvolging
Meten is weten, zowel voor de operator als voor het management.
Op maat worden MS Accces databases gecreëerd die overzicht geeft over productie van orders.
Het menu wordt in samenspraak bepaald:
- ingeven van test gegevens is afhankelijk van de opbouw Artikels > Items > Orders;
- na ingave kan het test gegeven onmiddellijk geraadpleegd worden die de STATUS van het order toont;
- rapporten zijn standaard en worden door administrators gemanaged;
- kwaliteitsrapporten en certificaten worden eenvoudig aangemaakt;

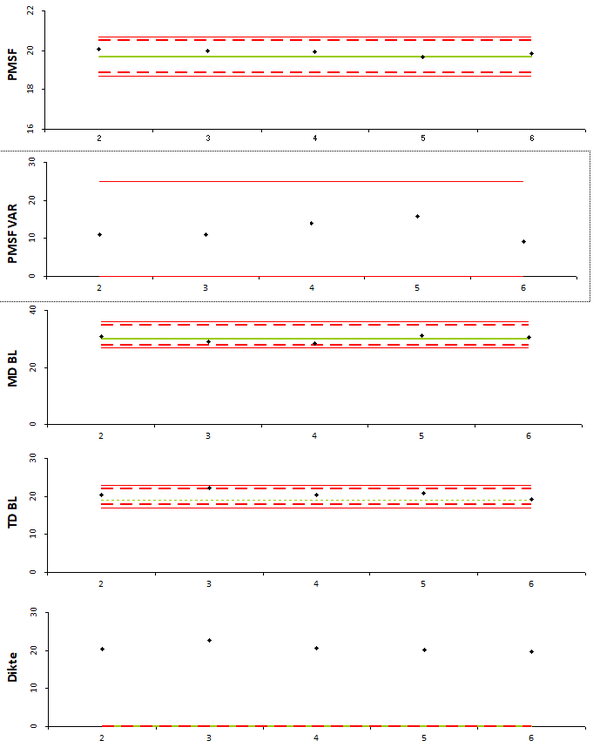
Dit is een voorbeeld na test ingave en geeft onmiddellijk het resultaat.
Veel meetgegevens worden gekoppeld aan kwaliteitswaarden die door managers worden beheerd.
Aan de hand van QC status wordt er gereageerd.

Orders kunnen ook grafisch in beeld gebracht worden, met al dan niet regelgrenzen.

